Actividades sugeridas

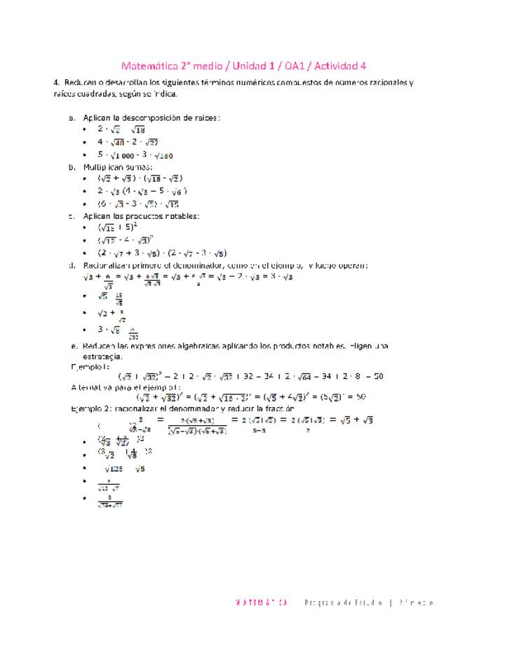
Matemática 2 medio-Unidad 1-OA1-Actividad 4

Año publicación: 2019
Compartir: Compartir
Descripción
Matemática 2 medio-Unidad 1-OA1-Actividad 4
Clasificaciones
Tipo de actividad
Cursos / Niveles
Asignaturas / Ámbitos
Eje
Licenciamiento
CC BY-NC-SA (Reconocimiento - No Comercial - Compartir Igual)
Objetivos de aprendizaje del recurso

Objetivo de aprendizaje MA2M OA 01 MA2M OA 01

Realizar cálculos y estimaciones que involucren operaciones con números reales:

  • Utilizando la descomposición de raíces y las propiedades de las raíces.
  • Combinando raíces con números racionales.
  • Resolviendo problemas que involucren estas operaciones en contextos diversos.
2° Medio - Matemática
Imagen portada