Matemática 2 medio-Unidad 1-OA1-Actividad 4
Realizar cálculos y estimaciones que involucren operaciones con números reales:
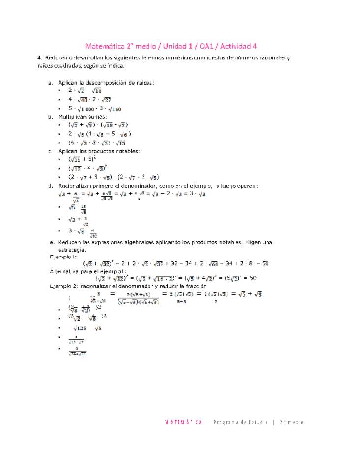
- Utilizando la descomposición de raíces y las propiedades de las raíces.
- Combinando raíces con números racionales.
- Resolviendo problemas que involucren estas operaciones en contextos diversos.
Resolver problemas utilizando estrategias como las siguientes:
- Simplificar el problema y estimar el resultado.
- Descomponer el problema en subproblemas más sencillos.
- Buscar patrones.
- Usar herramientas computacionales.
Unidad 1: Aplicación de raíces, potencias y logaritmos. Área y superficie de la esfera
Tipo: Actividades / Actividades sugeridas
Curso: 2° Medio
Asignatura: Matemática
Fuente o Colección: Aprendo en Línea
Modalidad: Educación General

CC BY-NC-SA (Reconocimiento - No Comercial - Compartir Igual)
Esta obra está bajo una Licencia Creative Commons Atribución 4.0 Internacional que no permite utilizar el material para una finalidad comercial.
Usos permitidos por esta licencia, siempre que se reconozca al autor:
Compartir > copiar y redistribuir el material en cualquier medio o formato.
Adaptar > remezclar, transformar y crear a partir del material para cualquier finalidad, incluso comercial.
CompartirIgual = Si remezcla, transforma o crea a partir del material, deberá difundir sus contribuciones bajo la misma licencia que el original.






