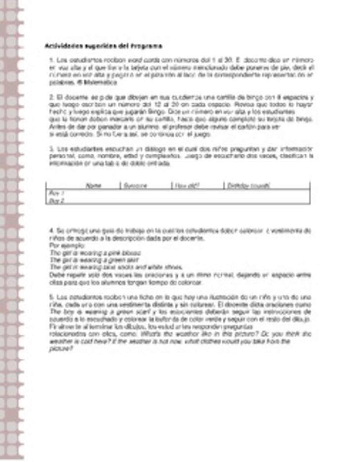
Actividades sugeridas Unidad 1
Comprender textos orales relacionados con temas conocidos o de otras asignaturas -la escuela, animales salvajes, partes de la casa y muebles, figuras geométricas, ocupaciones, lugares en la ciudad, comida, celebraciones (Easter)-, y que contengan las siguientes funciones: seguir y dar instrucciones; presentarse y presentar a otros; expresar habilidad, sentimientos, posesión y cantidades hasta el veinte; describir animales y objetos en un lugar; describir acciones que suceden al momento de hablar.
Tipo: Actividades / Actividades sugeridas
Curso: 3° básico
Asignatura: Inglés - Inglés (Propuesta)
Fuente o Colección: Currículum en línea
Modalidad: Educación General

CC BY-NC-SA (Reconocimiento - No Comercial - Compartir Igual)
Esta obra está bajo una Licencia Creative Commons Atribución 4.0 Internacional que no permite utilizar el material para una finalidad comercial.
Usos permitidos por esta licencia, siempre que se reconozca al autor:
Compartir > copiar y redistribuir el material en cualquier medio o formato.
Adaptar > remezclar, transformar y crear a partir del material para cualquier finalidad, incluso comercial.
CompartirIgual = Si remezcla, transforma o crea a partir del material, deberá difundir sus contribuciones bajo la misma licencia que el original.






